22 Verifique O Teorema De Stokes Calculando As Duas Integr
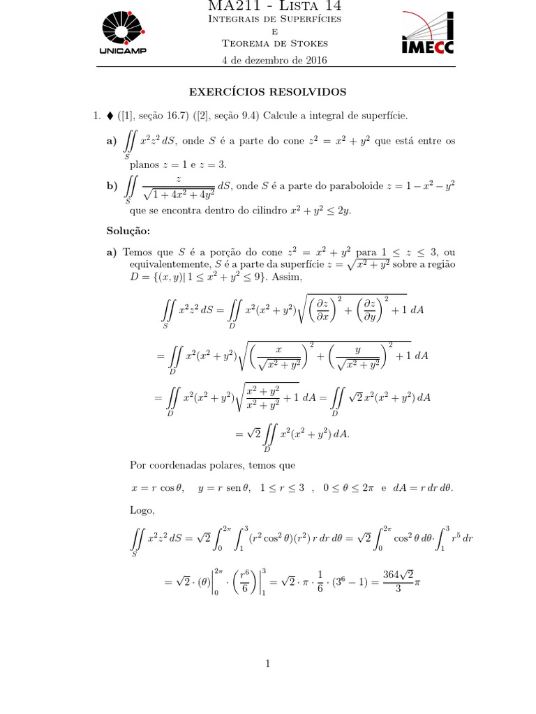
Web Join MathsGee, where you get instant answers from our AI, GaussTheBot, that are verified by human experts We use a combination of generative AI and human expertsWeb En este video observarás como realizar la gráfica del paraboloide z=x^2y^2 (función de dos variables) utilizando la técnica de las trazas en el espacio tridimensional
Paraboloide z=9-x^2-y^2
Paraboloide z=9-x^2-y^2-Web The ecuation of the paraboloid is $z=9x^2y^2$ I know that I can parameterize it in cartesian coordinates as $r(x,y)=(x,y,9x^2y^2)$ but I see in a book thisWebMarque a alternativa que apresenta a integral ∭ V e ( x 2 y 2 ) 3 / 2 d V em coordenadas cilíndricas, onde V é o sólido limitado inferiormente pelo cone z 2 = x 2 y 2 e
1 Example Of A Variety In R 3 Paraboloid 1 2 X 2 2y 2 Z 0 Download Scientific Diagram
Web Expert Answer The quest View the full answer Transcribed image text Let F (x,y,z) = 2zk^ be a vector field and S be portion of the paraboloid 2x2 2y2 z = 17 that isWeby = x 2 z 2 = (− 1 4) 2 (− 3 4) 2 = 5 8 y = x^2 z^2 = (\dfrac{1}{4})^2 (\dfrac{3}{4})^2 = \dfrac{5}{8} y = x 2 z 2 = (− 4 1 ) 2 (− 4 3 ) 2 = 8 5 Plug x and z into original givenExtended Keyboard Examples Upload Random Compute answers using Wolfram's breakthrough technology & knowledgebase, relied on by
Web Question Determine the graph of the paraboloid \ z=x^{2}16 y^{2} \ Choose the correct graph of the equation A Show transcribed image text Expert AnswerWeb Here is the equation of a hyperbolic paraboloid x2 a2 − y2 b2 = z c x 2 a 2 − y 2 b 2 = z c Here is a sketch of a typical hyperbolic paraboloid These graphs are vaguelyWebplot z=x^2y^2 Natural Language Math Input Extended Keyboard Examples Assuming "plot" is a plotting function Use as referring to geometry
Paraboloide z=9-x^2-y^2のギャラリー
各画像をクリックすると、ダウンロードまたは拡大表示できます
![]() 2 | ![]() 2 | 2 |
![]() 2 | ![]() 2 | ![]() 2 |
![]() 2 | 2 | ![]() 2 |
![]() 2 | ![]() 2 | ![]() 2 |
![]() 2 | ![]() 2 | ![]() 2 |
2 | ![]() 2 | ![]() 2 |
![]() 2 | 2 | ![]() 2 |
2 | ![]() 2 | 2 |
![]() 2 | ![]() 2 | 2 |
2 | ![]() 2 | ![]() 2 |
2 | 2 | ![]() 2 |
![]() 2 | 2 | ![]() 2 |
![]() 2 | 2 | ![]() 2 |
![]() 2 | 2 | 2 |
2 | ![]() 2 | ![]() 2 |
2 | 2 | ![]() 2 |
2 | ![]() 2 | 2 |
![]() 2 | ![]() 2 | 2 |
2 | 2 | ![]() 2 |
![]() 2 | 2 | 2 |
![]() 2 | 2 | ![]() 2 |
![]() 2 | ![]() 2 | 2 |
![]() 2 | ![]() 2 | 2 |
![]() 2 | 2 | ![]() 2 |
![]() 2 | 2 | ![]() 2 |
![]() 2 | 2 | 2 |
![]() 2 | ![]() 2 | 2 |
![]() 2 | ![]() 2 | ![]() 2 |
![]() 2 | 2 | ![]() 2 |
2 | ![]() 2 | 2 |
![]() 2 | ![]() 2 | ![]() 2 |
![]() 2 | ![]() 2 | ![]() 2 |
2 | ![]() 2 | ![]() 2 |
![]() 2 | 2 | 2 |
![]() 2 | ![]() 2 |
WebPlease consider donating to my GoFundMe via https//gofundme/234e7370 Without going into detail, the pandemic has not been good to me and my business and
Incoming Term: paraboloid z=x^2+y^2, paraboloide z=9-x^2-y^2, paraboloid z=1-x^2-y^2, paraboloid z=4-x^2-y^2, paraboloid equation z=x^2+y^2, paraboloid z=25-x^2-y^2, graph of paraboloid z=x^2+y^2, consider the paraboloid z=x^2+y^2, under the paraboloid z=x^2+y^2 and above the disk, surface area of paraboloid z=x^2+y^2,



































































0 件のコメント:
コメントを投稿